Nutrition News

Dr. Jillian Teta: "How Essential Pre/Probiotic For Our Health"

Dr. Jillian Teta: "How Essential Pre/Probiotic ...

Los Alamos National Laboratory: 99% of your Genes come from your Microbiome. (Healthy Microbiome produces healthy DNA and Visa Versa.) Our bodies contain roughly ten times more microbial cells than...

Dr. Jillian Teta: "How Essential Pre/Probiotic ...

Los Alamos National Laboratory: 99% of your Genes come from your Microbiome. (Healthy Microbiome produces healthy DNA and Visa Versa.) Our bodies contain roughly ten times more microbial cells than...

Blood pressure decreased life expectancy!!!

Blood pressure decreased life expectancy!!!

blood pressure

Blood pressure decreased life expectancy!!!

blood pressure

Flax Seeds & Breast Cancer! Michael Greger M.D. FACLM

Flax Seeds & Breast Cancer! Michael Greger M.D....

 I’ve previously discussed the role of dietary lignans in the reduction of breast cancer risk and improvement in breast cancer survival, based on studies like this that showed that women...

Flax Seeds & Breast Cancer! Michael Greger M.D....

 I’ve previously discussed the role of dietary lignans in the reduction of breast cancer risk and improvement in breast cancer survival, based on studies like this that showed that women...

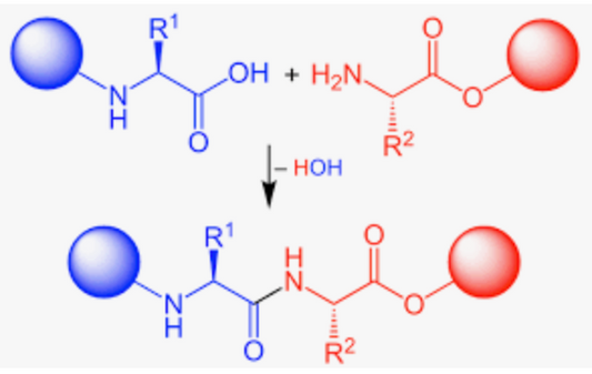
Biosynthesis of Amino Acids

Biosynthesis of Amino Acids

Amino acids are the building blocks of protein, which is why getting enough essential amino acids in your diet is critical to maintaining optimal health and preventing protein deficiency.    Amino...

Biosynthesis of Amino Acids

Amino acids are the building blocks of protein, which is why getting enough essential amino acids in your diet is critical to maintaining optimal health and preventing protein deficiency.    Amino...

Vitamin D deficiency is associated with so many health problems including  Crohn’s Disease!

Vitamin D deficiency is associated with so many...

Michael Greger M.D. FACLM     KEEPING YOUR VITAMIN D BETWEEN 50 AND UP TO 80 WILL REAP MANY HEALTH BENEFITS!   So many people are consuming vitamin D especially prescription...

Vitamin D deficiency is associated with so many...

Michael Greger M.D. FACLM     KEEPING YOUR VITAMIN D BETWEEN 50 AND UP TO 80 WILL REAP MANY HEALTH BENEFITS!   So many people are consuming vitamin D especially prescription...

Dr. Stephen Sinatra: "Joint pain is usually accompanied by inflammation"!

Dr. Stephen Sinatra: "Joint pain is usually acc...

"As a cardiologist what worries me, even more, is their impact on the cardiovascular system"!   Joint pain is usually accompanied by inflammation—and keeping inflammation down is important for heart...

Dr. Stephen Sinatra: "Joint pain is usually acc...

"As a cardiologist what worries me, even more, is their impact on the cardiovascular system"!   Joint pain is usually accompanied by inflammation—and keeping inflammation down is important for heart...